滚子链链轮的结构设计
1.链轮的齿形
链轮齿形必须保证链节能平稳自如地进入和退出啮合,尽量减少啮合时的链节的冲击和接触应力,而且要易于加工。
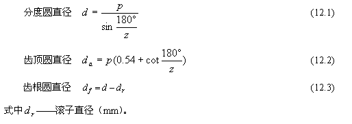
常用的链轮端面齿形见图6。它是由三段圆弧aa、ab、cd和一段直线bc构成,简称三圆弧-直线齿形。齿形用标准刀具加工,在链轮工作图上不必绘制端面齿形,只需在图上注明齿形按3RGB1244-85规定制造即可,但应绘制链轮的轴面齿形,见图7,其尺寸参阅有关设计手册。工作图中应注明节距p、齿数z、分度圆直径d(链轮上链的各滚子中心所在的圆)、齿顶圆直径da、齿根圆直径df。其计算公式为



2.链轮结构
图8为几种常用的链轮结构。小直径链轮一般做成整体式(图6.8a),中等直径链轮多做成辐板式,为便于搬运、装卡和减重,在辐板上开孔(图6.8b),大直径链轮可做成组合式(图6.8c,d),此时齿圈与轮芯可用不同材料制造。

3.链轮材料
链轮材料应保证轮齿有足够的强度和耐磨性,故链轮齿面一般都经过热处理,使之达到一定硬度。常用材料见表2。

一名纽约居民因 SocksEscort 代理服务而损失近 100 万美元的加密货币,该服务已被当局查封。该...
2 XRP价格持续徘徊在1.45美元:为什么XRP价格XRP 在 1.76 美元至 1.80 美元之间面临显著的阻力位,约有 18.5 亿枚代币在该区域被买入。这造成...
3 彭博社:BTC正接近历史熊市底部区间,潜消息,Bitcoin News 在 X 平台发文表示,自 10 月以来下跌近 50%后,多个历史性指标显示 BTC 抛售可...
4 去中心化加密货币交易所 Aerodrome 如何改领先的去中心化交易所 Aerodrome 已做好准备,将于 2026 年以全新的统一品牌Aero登陆以太坊主网...
5 IOSG:链上收益全景,从生息稳定币到加密消息,据吴说区块链发推称:IOSG 报告指出,熊市中投资者偏好稳定收益与低风险,推动生息稳...
6 Tether冻结某地址中约1200万枚USDT消息,3 月 14 日,据 Whale Alert 监测,一个 Tron 链上地址持有的 11,960,680 枚 USDT 刚刚被发行方...
7 想在这个周末押注油价吗?在伊朗战争的Hyperliquid 的迅速崛起,得益于其基于区块链的全天候资产交易平台,例如石油永续期货,凸显...
8 USDC 市值逼近 800 亿美元历史高位,分析师消息,USDC 流通市值已升至约 792 亿美元,接近历史高点。该稳定币市值自 2 月初的约 700 亿美...
9 比特币价格已经连续回调 159 天,但这真比特币目前持续159天的回调,按历史标准来看算是短暂的,此前的周期通常需要超过800天才能...
10 Polymarket上新“对伊朗的军事行动将于何时消息,Odaily Seer 先知频道监测显示,Polymarket 今日凌晨 4 时上线新市场对伊朗的军事行动将于何...
成都来彰科技 蜀ICP备2025134723号-1
资讯来源互联网,如有版权问题请联系管理员删除。