螺栓组联接的设计步骤:
1)螺栓组结构设计
2)螺栓受力分析
3)确定螺栓直径
4)校核螺栓组联接接合面的工作能力
5)校核螺栓所需的预紧力是否合适
确定螺栓的公称直径后,螺栓的类型,长度,精度以及相应的螺母,垫圈等结构尺寸,可根据底板的厚度,螺栓在立柱上的固定方法及防松装置等全面考虑后定出。
![]()
1.螺栓组联接的结构设计
螺栓组联接结构设计的主要目的,在于合理地确定联接接合面的几何形状和螺栓的布置形式,力求各螺栓和联接接合面间受力均匀,便于加工和装配。为此,设计时应综合考虑以下几方面的问题:
1)联接接合面的几何形状通常都设计成轴对称的简单几何形状,如圆形,环形,矩形,框形,三角形等。这样不但便于加工制造,而且便于对称布置螺栓,使螺栓组的对称中心和联接接合面的形心重合,从而保证接合面受力比较均匀。
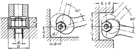
2)螺栓的布置应使各螺栓的受力合理。对于铰制孔用螺栓联接,不要在平行于工作载荷的方向上成排地布置八个以上的螺栓,以免载荷分布过于不均。当螺栓联接承受弯矩或转矩时,应使螺栓的位置适当靠近联接接合面的边缘,以减小螺栓的受力(下图)。如果同时承受轴向载荷和较大的横向载荷时,应采用销,套筒,键等抗剪零件来承受横向载荷,以减小螺栓的预紧力及其结构尺寸。

接合面受弯矩或转矩时螺栓的布置
3)螺栓排列应有合理的间距,边距。布置螺栓时,各螺栓轴线间以及螺栓轴线和机体壁间的最小距离,应根据扳手所需活动空间的大小来决定。扳手空间的尺寸(下图)可查阅有关标准。对于压力容器等紧密性要求较高的重要联接,螺栓的间距t0不得大于下表所推荐的数值。

扳手空间尺寸
螺栓间距t0

注:表中d为螺纹公称直径。
4)分布在同一圆周上的螺栓数目,应取成4,6,8等偶数,以便在圆周上钻孔时的分度和画线。同一螺栓组中螺栓的材料,直径和长度均应相同。
5)避免螺栓承受附加的弯曲载荷。除了要在结构上设法保证载荷不偏心外,还应在工艺上保证被联接件,螺母和螺栓头部的支承面平整,并与螺栓轴线相垂直。对于在铸,锻件等的粗糙表面上应安装螺栓时,应制成凸台或沉头座(下图1)。当支承面为倾斜表面时,应采用斜面垫圈(下图2)等。

图1凸台与沉头座的应用 图2斜面垫圈的应用
![]()
2.螺栓组联接的受力分析
1).受横向载荷的螺栓组联接
2).受转矩的螺栓组联接
3). 受轴向载荷的螺栓组联接
4).受倾覆力矩的螺栓组联接
进行螺栓组联接受力分析的目的是,根据联接的结构和受载情况,求出受力最大的螺栓及其所受的力,以便进行螺栓联接的强度计算。
为了简化计算,在分析螺栓组联接的受力时,假设所有螺栓的材料,直径,长度和预紧力均相同;螺栓组的对称中心与联接接合面的形心重合;受载后联接接合面仍保持为平面。下面针对几种典型的受载情况,分别加以讨论。
1).受横向载荷的螺栓组联接
图所示为一由四个螺栓组成的受横向载荷的螺栓组联接。横向载荷的作用线与螺栓轴线垂直,并通过螺栓组的对称中心。当采用螺栓杆与孔壁间留有间隙的普通螺栓联接时(图a)。靠联接预紧后在接合面间产生的摩擦力来抵抗横向载荷;当采用铰制孔用螺栓联接时(图b),靠螺栓杆受剪切和挤压来抵抗横向载荷。虽然两者的传力方式不同,但计算时可近似地认为,在横向总载荷F∑的作用下,各螺栓所承担的工作载荷是均等的。因此,对于铰制孔用螺栓联接,每个螺栓所受的横向工作剪力为

式中z为螺栓联接数目。
对于普通螺栓联接,应保证联接预紧后,接合面间所产生的最大摩擦力必须大于或等于横向载荷。
假设各螺栓所需要的预紧力均为Qp,螺栓数目为z,则其平衡条件为
或

图:受横向载荷的螺栓组联接
式中:
f——接合面间的摩擦系数,见下表;
i——接合面数(图中,i=2);
Ks——防滑系数,Ks=1.1~1.3。
由式(5-24)求得预紧力Qp,然后按式(5-14)校核螺栓的强度。
联接接合面间的摩擦系数
被联接件
接合面的表面状态
摩擦系数f
钢或铸铁零件
干燥的加工表面
0.10-0.16
有油的加工表面
0.06-0.10
钢结构
轧制表面,钢丝刷清理浮锈
0.30-0.35
涂富锌漆
0.35-0.40
喷砂处理
0.45-0.55
钢铁对砖料,混凝土或木材
干燥表面
0.40-0.45
2).受转矩的螺栓组联接
如下图所示,转矩T作用在联接接合面内,在转拒T的作用下,底板将绕通过螺栓组对称中心O并与接合面相垂直的轴线转动。为了防止底板转动,可以采用普通螺栓联接,也可以采用铰制孔用螺栓联接。其传力方式和受横向载荷的螺栓组联接相同。


图:受转矩的螺栓组联接
采用普通螺栓时,靠联接领紧后在接合面间产生的摩擦力矩来抵抗转矩T。假设各螺栓的预紧程度相同,即各螺栓的预紧力均为Qp,则各螺栓联接处产生的摩擦力均相等,并假设此摩擦力集中作用在螺栓中心处。为阻止接合面发生相对转动,各摩擦力应与各该螺栓的轴线到
![]()
由上式可得各螺栓所需的预紧力为

式中:f——接合面的摩擦系数,见表;
ri——第i个螺栓的轴线到螺栓组对称中心O的距离;
z——螺栓数目;
Ks ——防滑系数,同前。
由上式求得预紧力Qp,然后校核螺栓的强度。
采用铰制孔用螺栓时,在转矩T的作用下,各螺栓受到剪切和挤压作用,各螺栓所受的横向工作剪力和各该螺栓轴线到螺栓组对称中心O的连线(即力臂r。)相垂直(图b)。为了求得各螺栓的工作剪力的大小,计算时假定底板为刚体,受载后接合面仍保持为平面。则各螺栓的剪切变形量与各该螺栓轴线到螺栓组对称中心O的距离成正比。即距螺栓组对称中心O越远,螺栓的剪切变形量越大。如果各螺栓的剪切刚度相同,则螺栓的剪切变形量越大时,其所受的工作剪力也越大。如图b所示,用ri、rmax分别表示第i个螺栓和受力最大螺栓的轴线到螺栓组对称中心O的距离;Fi、Fmax。分别表示第i个螺栓和受力最大螺栓的工作剪力,则得

根据作用在底板上的力矩平衡的条件得
![]()
即
.
联解,可求得受力最大的螺栓的工作剪力为

图所示的凸缘联轴器,是承受转矩的螺栓组联接的典型部件。各螺栓的受力根据
r1=r2=…=rz的关系以及螺栓联接的类型,分别代人即可求得。
3).受轴向载荷的螺栓组联接
下图为一受轴向总载荷FS的汽缸盖螺栓组联接。FS的作用线与螺栓轴线平行,并通过螺栓组的对称中心O。计算时,认为各螺栓平均受载,则每个螺栓所受的轴向工作载荷为


图:受轴向载荷的螺栓组联接
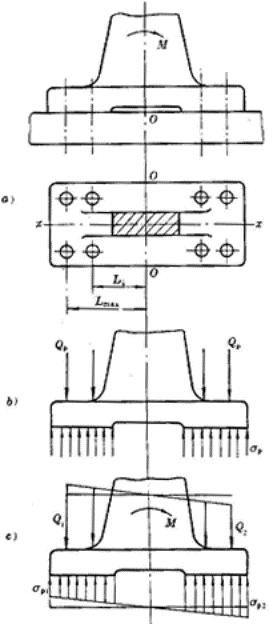
4).受倾覆力矩的螺栓组联接
下图a为一受倾覆力矩的底板螺栓组联接。倾覆力矩M作用在通过x-x轴并垂直于联接接合面的对称平面内。底板承受倾覆力矩前,由于螺栓已拧紧,螺栓受预紧力Qp,有均匀的伸长;地基在各螺栓的Qp作用下.有均匀的压缩,如图b所示。当底板受到倾覆力矩作用后,它绕轴线O—O倾转一个角度,假定仍保持为平面。此时,在轴线O-O左侧,地基被放松,螺栓被进一步拉伸,在右侧,螺栓被放松,地基被进一步压缩。底板的受力情况如图c所示。

图:受倾覆力矩的螺栓组联接
联接接合面材料的许用挤压应力[σ]p,可查下表。
表:联接接合面材料的许用挤压应力[σ]p

注:
l)σs为材料屈服权限,MPa; σB为材料强度极限,MPa。
2)当联接接合面的材料不同时,应按强度较弱者选取。
3)联接承受载荷时,[σ]p应取表中较大值;承受变载荷时,则应取较小值
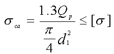
计算受倾覆力矩的螺栓组的强度时,首先由预紧力Qp、最大工作载荷Fmax确定受力最大的螺栓的总拉力Q,得

然后进行强度计算。
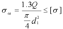
确定螺栓直径
首先选择螺栓材料,确定其性能等级,查出其材料的屈服极限,并查出安全系数,计算出螺栓材料的许用应力[σ]= σs/S。
根据以下公式计算螺纹小径d1:

最后按螺纹标准,选用螺纹公称直径。
螺纹联接件的材料
适合制造螺纹联接件的材料品种很多,常用材料有低碳钢Q215、10号钢和中碳钢Q235、35、45号钢。对于承受冲击、振动或变载荷的螺纹联接件,可采用低合金钢、合金钢,如15Cr、40Cr、30CrMnsi等。对于特殊用途(如防锈蚀、防磁、导电或耐高温等)的螺纹联接件,可采用特种钢或铜合金、铝合金等。
表:螺栓的性能等级(摘自GB 3098.1-82)

注:规定性能等级的螺栓、螺母在图纸中只标出性能等级,不应标出材料牌号。
表:螺母的性能等级(摘自GB 3098.2-82)

4.校核螺栓组联接接合面的工作能力,是根据实际情况,对螺栓进行强度校核。
5.校核螺栓所需的预紧力。采用公式为:
碳素钢螺栓
![]()
合金钢螺栓
![]()
式中:
ss——螺栓材料的屈服极限;
A1——螺栓危险截面的面积。
松螺纹联接强度计算
拉伸强度条件为:

式中:F--螺栓工作载荷,N;
d1--螺栓危险截面的直径,mm;
[σ]--螺栓材料的许用拉应力,MPa.
![]()
紧螺栓联接强度计算
1)仅承受预紧力的紧螺栓联接
拉伸强度条件为:

式中:Qp—螺栓所受预紧力,N。
其余符号意义同前。
2)承受预紧力和工作拉力的紧螺栓联接
①拉伸强度条件为:

式中:Q—螺栓总拉力,N。
其余符号意义同前。
螺栓总拉力的计算:
Q=Qp+[Cb/(Cb+Cm)]·F
式中:Cb/(Cb+Cm)称为螺栓的相对刚度,一般设计时,可按下表推荐的数据选取。
螺栓的相对刚度Cb/(Cb+Cm)
被联接钢板间所用垫片类别
Cb/(Cb+Cm)
金属垫片(或无垫片)
0.2~0.3
皮革垫片
0.7
铜皮石棉垫片
0.8
橡胶垫片
0.9
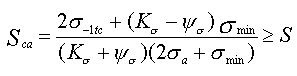
②疲劳强度计算
对于受轴向变载荷的重要联接,应对螺栓的疲劳强度作精确校核,计算其最大应力计算安全系数:

式中:
s-1tc——螺栓材料的对称循环拉压疲劳极限,MPa,s-1tc值见表
——试件的材料特性,即循环应力中平均应力的折算系数,对于碳素钢,
=0.1—0.2,对于合金钢,
=0.2—0.3;
——拉压疲劳强度综合影响系数,如忽略加工方法的影响,则Kσ=kσ/eσ,Kσ此处为有效应力集中系数,见表eσ为尺寸系数,见附表;
S ——安全系数。
螺纹联接件常用材料的疲劳极限(摘自GB38-76)
材料
疲劳极限(MPa)
s-1
s-1tc
10
Q215
35
45
40Cr
160~220
170~220
220~300
250~340
320~440
120~150
120~160
170~220
190~250
240~340
螺纹联接的安全系数S
受载类型
静载荷
变载荷
松螺栓联接
1.2~1.7
紧
螺
栓
联
接
受
轴
向
及
横
向
载
荷
的
普
通
螺
栓
联
接
不
考
虑
预
紧
力
的
简
化
计
算
M6~M16
M16~M30
M30~M60
M6~M16
M16~M30
M30~M60
碳钢
5~4
4~2.5
2.5~2
碳钢
12.5~8.5
8.5
8.5~12.5
合金钢
5.7~5
5~3.4
3.4~3
合金钢
10~6.8
6.8
6.8~10
考
虑
预
紧
力的计算
1.2~1.5
1.2~1.5
(Sa=2.5~4)
铰制孔用
螺栓联接
钢:Sr=2.5,Sp=1.25
铸铁:Sp=2.0~2.5
钢:Sr=3.5~5,Sp=1.5
铸铁:Sp=2.5~3.0
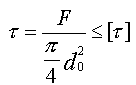
3)承受工作剪力的紧螺栓联接
螺栓杆与孔壁的挤压强度条件为

螺栓杆的剪切强度条件为

式中:F ——螺栓所受的工作剪力,N;
d0 ——螺栓剪切面的直径(可取为螺栓孔的直径),mm;
Lmin——螺栓杆与孔壁挤压面的最小高度,mm,设计时应使Lmin
1.25d0;
[σ]p——螺栓或孔壁材料的许用挤压应力,MPa;
[τ] ——螺栓材料的许用切应力,MPa。

承受工作剪力的紧螺栓联接
有效应力集中系数
材料的
![]()
400
600
800
1000
![]()
3.0
3.9
4.8
5.2
尺寸系数 回顶部
直径d(mm)
16
20
24
28
32
40
48
56
64
72
80
![]()
1
0.81
0.76
0.71
0.68
0.63
0.60
0.57
0.54
0.52
0.50
联接接合面材料的许用挤压应力
![]()
材 料
钢
铸 铁
混 凝 土
砖(水泥浆缝)
木 材
![]()
![]()
![]()
2.0-3.0
1.5-2.0
2.0-4.0
螺栓的性能等级(摘自GB 3098.1--82)
性能等级(标记)
3.6
4.6
4.8
5.6
5.8
6.8
8.8
9.8
10.9
12.9
抗拉强度极限![]()
330
400
420
500
520
600
800
900
1040
1220
屈服极限![]()
190
240
340
300
420
480
640
720
940
1100
硬度![]()
90
109
113
134
140
181
232
269
312
365
推荐材料
低碳钢
低碳钢或中碳钢
中碳钢,淬火并回火
中碳钢,低、中碳合金钢,淬火并回火,合金钢
合金钢
消息,据Watcher.Guru发推称:特斯拉向SpaceX投资20亿美元,埃隆马斯克旗下两家公司加强资本联系...
2 1998枚比特币转入Kraken消息,据Whale Alert发推称:未知钱包向 Kraken 转移了 1998 枚比特币,价值约 1.57 亿美元。...
3 美司法部指控OpenAI前员工内幕交易消息,据Anthony Pompliano ?发推称:美国证券交易委员会主席 Gary Gensler 表示,加密货币市场中的...
4 OpenClaw和Hermes等项目已明确纳入GLM Coding消息,智谱产品主管 Zixuan Li 在 X 平台发文表示,OpenClaw,Hermes 以及 SillyTavern 目前已明确标记...
5 OpenAI:计划2030年前实现30GW算力消息,据官方消息,OpenAI 2025 年 1 月曾承诺产生 10GW 算力,已完成 8GW。目前计划到 2030 年实现...
6 华尔街呼吁美国证交会解除对私人资产交4月22日消息,一些华尔街大型另类资产管理公司的游说者正请求监管机构放宽相关规定,允许...
7 635枚BTC从匿名钱包转入Robinhood消息,据Whale Alert发推称:未知钱包向 Robinhood 转移了 635 枚 BTC,价值约 5008.01 万美元。...
8 Qwen:推出开源模型Qwen3.627B消息,据官方消息,Qwen 推出最新开源稠密模型 Qwen3.6-27B。该模型具备旗舰级编程能力,在所有...
9 谷歌:目前谷歌所有新代码中,75%由人工4月22日消息,谷歌:目前谷歌所有新代码中,75%由人工智能生成。超过一半的机器学习计算投...
10 比特币月线布林带已达到历史最窄水平,消息,比特币月线布林带已达到历史最窄水平,预示价格即将出现强劲波动。分析师 Cantonese...
成都来彰科技 蜀ICP备2025134723号-1
资讯来源互联网,如有版权问题请联系管理员删除。